Розділ 1. ЦІЛІ ВИРАЗИ » 165





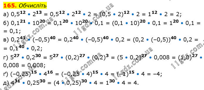
Обчисліть а) 0,512 • 213 = 0,512 • 212 • 2 = (0,5 • 2)12 • 2 = 112 • 2 = 2; б) 0,121 • 1020 = 0,120 • 1020 • 0,1 = (0,1 • 10)20 • 0,1 = 120 • 0,1 = 0,1; в) 0,241 • (–0,5)40 = 0,240 • (–0,5)40 • 0,2 = (0,2 • (–0,5))40 • 0,2 = 0,140 • 0,2; г) 527 • 0,230 = 527 • (0,2)27 • (0,2)3 = (5 • 0,2)27 • 0,008 = (1,0)27 • 0,008 = 0,008; ґ) (–0,25)15 • 416 = (–0,25 • 4)15 • 4 = (–1)15 • 4 = –4; д) 431 • 0,2530 = (4 • 0,25)30 • 4 = 130 • 4 = 4.





Розділ 1. ЦІЛІ ВИРАЗИ