Тема 1. ДРОБОВІ ВИРАЗИ » 4.17





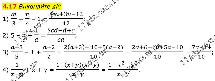
Виконайте дії: 1) m/3 + n/4 – 1 = (4m+3n-12)/12; 2) 5 – 1/c + 1/d = (5cd-d+c)/cd; 3) (a+3)/5 – 1 + (a-2)/2 = (2(a+3)- 10+5(a-2))/10 = (2a+6-10+5a-10)/10 = (7a-14)/10; 4) 1/(x-y) + x + y = (1+(x+y)(x-y))/(x-y) = (1+ x^2- y^2)/(x-y).





Тема 1. ДРОБОВІ ВИРАЗИ