Тема 1. ДРОБОВІ ВИРАЗИ » 4.21





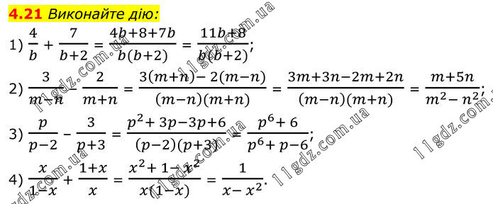
Виконайте дію: 1) 4/b + 7/(b+2) = (4b+8+7b)/(b(b+2)) = (11b+8)/(b(b+2)); 2) 3/(m-n) – 2/(m+n) = (3(m+n)- 2(m-n))/((m-n)(m+n)) = (3m+3n-2m+2n)/((m-n)(m+n)) = (m+5n)/(m^2- n^2 ); 3) p/(p-2) – 3/(p+3) = (p^2+ 3p-3p+6)/((p-2)(p+3)) = (p^6+ 6)/(p^6+ p-6); 4) x/(1-x) + (1+x)/x = (x^2+ 1- x^2)/(x(1-x)) = 1/(x- x^2 ).





Тема 1. ДРОБОВІ ВИРАЗИ