Тема 1. ДРОБОВІ ВИРАЗИ » 2.12





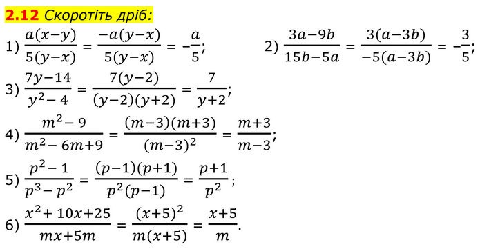
Скоротіть дріб: 1) (a(x-y))/(5(y-x)) = (-a(y-x))/(5(y-x)) = –a/5; 3) (7y-14)/(y^2- 4) = (7(y-2))/((y-2)(y+2)) = 7/(y+2); 2) (3a-9b)/(15b-5a) = (3(a-3b))/(-5(a-3b)) = –3/5; 4) (m^2- 9)/(m^2- 6m+9) = ((m-3)(m+3))/((m-3)^2 ) = (m+3)/(m-3); 5) (p^2- 1)/(p^3- p^2 ) = ((p-1)(p+1))/(p^2 (p-1)) = (p+1)/p^2 ; 6) (x^2+ 10x+25)/(mx+5m) = ((x+5)^2)/(m(x+5)) = (x+5)/m.





Тема 1. ДРОБОВІ ВИРАЗИ