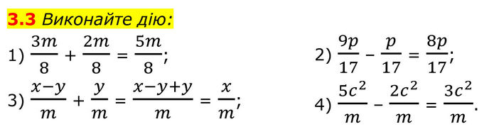
Тема 1. ДРОБОВІ ВИРАЗИ » 3.3





3.1 Виконайте дію: 1) a/5 + b/5 = (a+b)/5; 3) 2/a + 3/a = 5/a; 2) x/9 – y/9 = (x-y)/9; 4) 7/b – 5/b = 2/b. 3.2 Знайдіть суму або різницю: 1) 2x/5 + x/5 = 3x/5; 3) (a+b)/x – a/x = (a+b-a)/x = b/x; 2) 7y/3 – 2y/3 = 5y/3; 4) (7x^2)/y + (5x^2)/y = (12x^2)/y.





Тема 1. ДРОБОВІ ВИРАЗИ