Тема 1. ДРОБОВІ ВИРАЗИ » 4.8





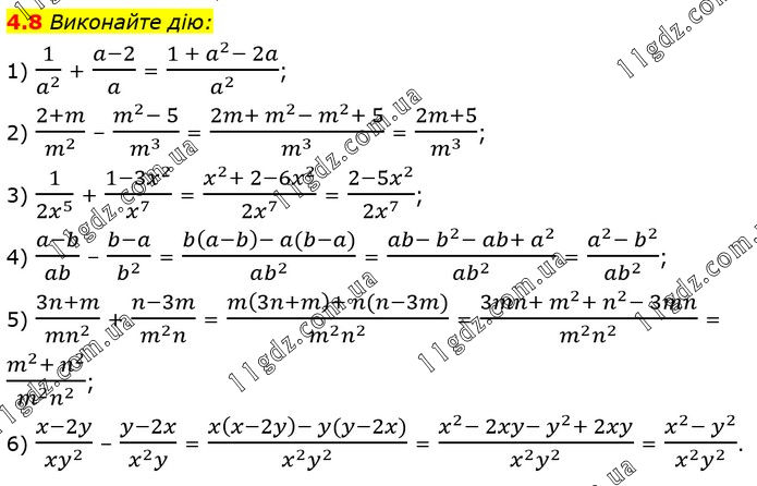
Виконайте дію: 1) 1/a^2 + (a-2)/a = (1 + a^2- 2a)/a^2 ; 2) (2+m)/m^2 – (m^2- 5)/m^3 = (2m+ m^2- m^2+ 5)/m^3 = (2m+5)/m^3 ; 3) 1/(2x^5 ) + (1-3x^2)/x^7 = (x^2+ 2-6x^2)/(2x^7 ) = (2-5x^2)/(2x^7 ); 4) (a-b)/ab – (b-a)/b^2 = (b(a-b)- a(b-a))/(ab^2 ) = (ab- b^2- ab+ a^2)/〖ab〗^2 = (a^2- b^2)/〖ab〗^2 ; 5) (3n+m)/〖mn〗^2 + (n-3m)/(m^2 n) = (m(3n+m)+ n(n-3m))/(m^2 n^2 ) = (3mn+ m^2+ n^2- 3mn)/(m^2 n^2 ) = (m^2+ n^2)/(m^2 n^2 ); 6) (x-2y)/(xy^2 ) – (y-2x)/(x^2 y) = (x(x-2y)- y(y-2x))/(x^2 y^2 ) = (x^2- 2xy- y^2+ 2xy)/(x^2 y^2 ) = (x^2- y^2)/(x^2 y^2 ).





Тема 1. ДРОБОВІ ВИРАЗИ