Вправи 401 - 500 » 410
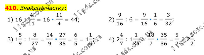
Знайдіть частку: 1) 16 : 4/11 = 16 ∙ 11/4 = 44; 2) 9/16 : 6 = 9/16 ∙ 1/6 = 3/32; 3) 15/9 : 18/27 = 14/9 ∙ 27/35 = 6/5 = 11/5; 4) 24/7 : 11/35 = 18/7 ∙ 35/36 = 5/2 = 21/2.
Знайдіть частку: 1) 16 : 4/11 = 16 ∙ 11/4 = 44; 2) 9/16 : 6 = 9/16 ∙ 1/6 = 3/32; 3) 15/9 : 18/27 = 14/9 ∙ 27/35 = 6/5 = 11/5; 4) 24/7 : 11/35 = 18/7 ∙ 35/36 = 5/2 = 21/2.