§ 4. ФОРМУЛИ СКОРОЧЕНОГО МНОЖЕННЯ » 531-533
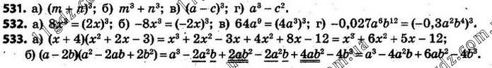
531. Запишіть у вигляді виразу: а) куб суми чисел m і n; в) куб різниці чисел а і с; б) суму кубів чисел m і n; г) різницю кубів чисел а і с.
531. Запишіть у вигляді виразу: а) куб суми чисел m і n; в) куб різниці чисел а і с; б) суму кубів чисел m і n; г) різницю кубів чисел а і с.