§ 4. ФОРМУЛИ СКОРОЧЕНОГО МНОЖЕННЯ » 574-575





574-575

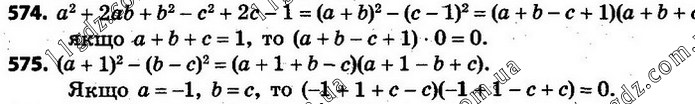
574. Розкладіть многочлен a2 + 2ab + b2 – c2 + 2c – 1 на множники. Доведіть, що коли a + b + с = 1, то значення цього многочлена дорівнює нулю. Розкладіть на множники многочлен a2 + 2a + 1 – b2 – c2 + 2bc та знайдіть його значення, якщо a = –1 і b = с.





§ 4. ФОРМУЛИ СКОРОЧЕНОГО МНОЖЕННЯ