§ 4. ФОРМУЛИ СКОРОЧЕНОГО МНОЖЕННЯ » 624-626





624-626

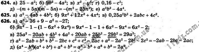
626. Спростіть вираз: а) (a – 6)(a + 6) + (3 – a)(3 + a); б) (3x2 – 1)(3x2 + 1) – (1 – 3x2)2; в) (5а – 2b)2 + (2а + 5b)2 – 29b2; г) (a – b)2 + (b – c)2 + (c – a)2 – 2(a2 + b2 + c2); д) (a2 – b2)(a2 + b2)(a4 + b4) + a8 + b8.





§ 4. ФОРМУЛИ СКОРОЧЕНОГО МНОЖЕННЯ