§ 4. ФОРМУЛИ СКОРОЧЕНОГО МНОЖЕННЯ » 448-449





448-449

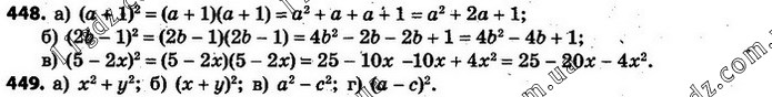
448. Замініть степінь добутком і запишіть його у вигляді многочлена: а) (a + 1)2; б) (2b – 1)2; в) (5 – 2x)2. 449. Запишіть у вигляді виразу: а) суму квадратів змінних х та у; б) квадрат суми змінних х та у; в) різницю квадратів змінних а і с; г) квадрат різниці змінних а і с





§ 4. ФОРМУЛИ СКОРОЧЕНОГО МНОЖЕННЯ