§ 4. ФОРМУЛИ СКОРОЧЕНОГО МНОЖЕННЯ » 601
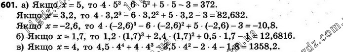
601. а) 4х3 – 6х2 + 5х – 3, якщо х = 5; х = 3,2; х = –2,6; б) 1,2х3 + 2,4х2 + 0,5х – 1, якщо х = 1,7; в) 4,5х4 + 4х3 – 3,5х2 + 2х – 1,8, якщо х = 4.
601. а) 4х3 – 6х2 + 5х – 3, якщо х = 5; х = 3,2; х = –2,6; б) 1,2х3 + 2,4х2 + 0,5х – 1, якщо х = 1,7; в) 4,5х4 + 4х3 – 3,5х2 + 2х – 1,8, якщо х = 4.