§ 4. ФОРМУЛИ СКОРОЧЕНОГО МНОЖЕННЯ » 474
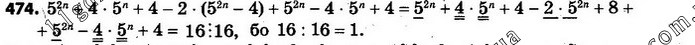
474. Доведіть, що для кожного натурального значення n значення виразу (5n + 2)2 – 2(5n + 2)(5n – 2) + (5n – 2)2 ділиться на 16.
474. Доведіть, що для кожного натурального значення n значення виразу (5n + 2)2 – 2(5n + 2)(5n – 2) + (5n – 2)2 ділиться на 16.