• 1 клас
    • Англійська мова
    • Іспанська мова
    • Математика
    • Мистецтво
    • Німецька мова
    • Я досліджую світ
  • 2 клас
    • Англійська мова
    • Математика
    • Німецька мова
    • Українська мова
    • Я досліджую світ
  • 3 клас
    • Англійська мова
    • Математика
    • Німецька мова
    • Русский язык
    • Українська мова
    • Я досліджую світ
  • 4 клас
    • Англійська мова
    • Інформатика
    • Математики
    • Німецька мова
    • Основи здоров'я
    • Природознавство
    • Русский язык
    • Українська література
    • Українська мова
    • Французька мова
    • Я досліджую світ
  • 5 клас
    • Англійська мова
    • Зарубіжна література
    • Інформатика
    • Історія
    • Математика
    • Німецька мова
    • Пізнаємо природу
    • Русский язык
    • Українська література
    • Українська мова
  • 6 клас
    • Англійська мова
    • Біологія
    • Географія
    • Етика
    • Зарубіжна література
    • Здоров’я, безпека
    • Інформатика
    • Історія
    • Математика
    • Німецька мова
    • Пізнаємо природу
    • Українська література
    • Українська мова
  • 7 клас
    • Алгебра
    • Англійська мова
    • Біологія
    • Географія
    • Геометрія
    • Зарубіжна література
    • Здоров’я, безпека
    • Інформатика
    • Історія
    • Математика
    • Німецька мова
    • Українська література
    • Українська мова
    • Фізика
    • Французька мова
    • Хімія
  • 8 клас
    • Алгебра
    • Англійська мова
    • Біологія
    • Географія
    • Геометрія
    • Громадянська освіта
    • Зарубіжна література
    • Здоров’я, безпека
    • Інформатика
    • Історія України
    • Математика
    • Німецька мова
    • Основи здоров'я
    • Підприємництво
    • Українська література
    • Українська мова
    • Фізика
    • Французька мова
    • Хімія
  • 9 клас
    • Алгебра
    • Англійська мова
    • Біологія
    • Географія
    • Геометрія
    • Інформатика
    • Історія
    • Німецька мова
    • Українська література
    • Українська мова
    • Фізика
    • Хімія
  • 10 клас
    • Алгебра
    • Англійська мова
    • Біологія
    • Географія
    • Геометрія
    • Інформатика
    • Історія
    • Математика
    • Німецька мова
    • Основи здоров'я
    • Українська література
    • Українська мова
    • Фізика
    • Хімія
  • 11 клас
    • Інформатика
    • Алгебра
    • Англійська мова
    • Біологія
    • Географія
    • Геометрія
    • Історія України
    • Математика
    • Німецька мова
    • Українська література
    • Українська мова
    • Фізика
    • Хімія


ГДЗ / ГДЗ Алгебра 7 клас Кравчук 2015 / § 4. ФОРМУЛИ СКОРОЧЕНОГО МНОЖЕННЯ / 564

§ 4. ФОРМУЛИ СКОРОЧЕНОГО МНОЖЕННЯ » 441





« 440
441
442-444 »

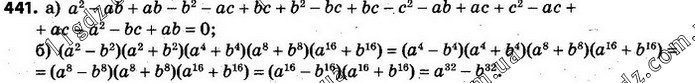
441. Спростіть вираз: а) (a + b – c)(a – b) + (b + c – а)(b – c) + (c + a – b)(c – a); б) (a – b)(a + b)(a2 + b2)(a4 + b4)(a8 + b8)(a16 + b16).

Повідомити про помилку




§ 4. ФОРМУЛИ СКОРОЧЕНОГО МНОЖЕННЯ

422
423-426
427-428
429
430
431
432
433
434
435-438
439
440
441
442-444
445
446
447
448-449
450
451
452
453
454-455
456-459
457-459
460-462
463
464
465
466
467
468
469
470
471
472-473
474
475
476
477
478
479
480
481
482-483
484
485-486
487-488
489
490-491
492-493
494
495
496
497
498
499
500
501
502
503-504
505
506
507
508
509
510
511
512-515
516
517
518
519
520
521
522-524
525
526
527
528
529
530
531-533
534
535-537
538
539
540
541
542
543
544
545
546
547
548
549-551
549
552
553
554
555
556
557
558
559
560
561
562
563
564
565
566-568
569-570
571
572
573
574-575
576
577-578
579
580
581
582
583
584
585-587
588-589
590
591-592
593
594
595-598
599
600
601
602
603-609
610-612
613
614
615
617
618-619
620
621
622
623
624-626
627
628
629
630
631
632
633
634
635
636
637
638
639-642
643-644
645
646
647
11GDZ © 2018-2026. Решебники, ГДЗ, відповіді. Всі права захищені.
  • Правила
  • Контакти