Завдання для перевірки § » §1-4 (11)





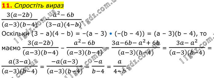
Спростіть вираз (3(a-2b))/((a-3)(b-4)) – (a^2- 6b)/((3-a)(4-b)). Оскільки (3 – a)(4 – b) = –(a – 3) • (–(b – 4)) = (a – 3)(b – 4), то маємо (3(a-2b))/((a-3)(b-4)) – (a^2- 6b)/((a-3)(b-4)) = (3a-6b- a^2+ 6b)/((a-3)(b-4)) = (3a- a^2)/((a-3)(b-4)) = (a(3-a))/((a-3)(b-4)) = (-a(a-3))/((a-3)(b-4)) = (-a)/(b-4) = a/(4-b).





Завдання для перевірки §