• 1 клас
    • Англійська мова
    • Іспанська мова
    • Математика
    • Мистецтво
    • Німецька мова
    • Я досліджую світ
  • 2 клас
    • Англійська мова
    • Математика
    • Німецька мова
    • Українська мова
    • Я досліджую світ
  • 3 клас
    • Англійська мова
    • Математика
    • Німецька мова
    • Русский язык
    • Українська мова
    • Я досліджую світ
  • 4 клас
    • Англійська мова
    • Інформатика
    • Математики
    • Німецька мова
    • Основи здоров'я
    • Природознавство
    • Русский язык
    • Українська література
    • Українська мова
    • Французька мова
    • Я досліджую світ
  • 5 клас
    • Англійська мова
    • Зарубіжна література
    • Інформатика
    • Історія
    • Математика
    • Німецька мова
    • Пізнаємо природу
    • Русский язык
    • Українська література
    • Українська мова
  • 6 клас
    • Англійська мова
    • Біологія
    • Географія
    • Етика
    • Зарубіжна література
    • Здоров’я, безпека
    • Інформатика
    • Історія
    • Математика
    • Німецька мова
    • Пізнаємо природу
    • Українська література
    • Українська мова
  • 7 клас
    • Алгебра
    • Англійська мова
    • Біологія
    • Географія
    • Геометрія
    • Зарубіжна література
    • Здоров’я, безпека
    • Інформатика
    • Історія
    • Математика
    • Німецька мова
    • Українська література
    • Українська мова
    • Фізика
    • Французька мова
    • Хімія
  • 8 клас
    • Алгебра
    • Англійська мова
    • Біологія
    • Географія
    • Геометрія
    • Громадянська освіта
    • Зарубіжна література
    • Здоров’я, безпека
    • Інформатика
    • Історія України
    • Математика
    • Німецька мова
    • Основи здоров'я
    • Підприємництво
    • Українська література
    • Українська мова
    • Фізика
    • Французька мова
    • Хімія
  • 9 клас
    • Алгебра
    • Англійська мова
    • Біологія
    • Географія
    • Геометрія
    • Інформатика
    • Історія
    • Німецька мова
    • Українська література
    • Українська мова
    • Фізика
    • Хімія
  • 10 клас
    • Алгебра
    • Англійська мова
    • Біологія
    • Географія
    • Геометрія
    • Інформатика
    • Історія
    • Математика
    • Німецька мова
    • Основи здоров'я
    • Українська література
    • Українська мова
    • Фізика
    • Хімія
  • 11 клас
    • Інформатика
    • Алгебра
    • Англійська мова
    • Біологія
    • Географія
    • Геометрія
    • Історія України
    • Математика
    • Німецька мова
    • Українська література
    • Українська мова
    • Фізика
    • Хімія


ГДЗ / ГДЗ Математика 8 клас Істер (2025) / Завдання для перевірки § / §1-4 (4)

Завдання для перевірки § » §10-13 (7)





« §10-13 (5-6)
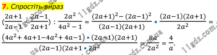
§10-13 (7)
§10-13 (8) »
Повідомити про помилку




Завдання для перевірки §

§1-4 (1-3)
§1-4 (4)
§1-4 (5-6)
§1-4 (7)
§1-4 (8)
§1-4 (9)
§1-4 (10)
§1-4 (11)
§5-9 (1)
§5-9 (2-3)
§5-9 (4)
§5-9 (5)
§5-9 (6)
§5-9 (7)
§5-9 (8)
§5-9 (9)
§5-9 (10)
§5-9 (11)
§10-13 (1-2)
§10-13 (3-4)
§10-13 (5-6)
§10-13 (7)
§10-13 (8)
§10-13 (9)
§10-13 (10)
§10-13 (11)
§14-18 (1)
§14-18 (2-3)
§14-18 (4)
§14-18 (5)
§14-18 (6)
§14-18 (7)
§14-18 (8)
§14-18 (9)
§14-18 (10)
§14-18 (11)
§19-22 (1-2)
§19-22 (3-4)
§19-22 (5-6)
§19-22 (7)
§19-22 (8)
§19-22 (9-10)
§19-22 (11)
§23-28 (1)
§23-28 (2-3)
§23-28 (4)
§23-28 (5)
§23-28 (6-7)
§23-28 (8)
§23-28 (9)
§23-28 (10)
§23-28 (11)
§29-35 (1-2)
§29-35 (3-4)
§29-35 (5)
§29-35 (6)
§29-35 (7)
§29-35 (8-9)
§29-35 (10)
§29-35 (11)
§36-39 (1-3)
§36-39 (4)
§36-39 (5)
§36-39 (6)
§36-39 (7)
§36-39 (8)
§36-39 (9)
§36-39 (10)
§36-39 (11)
§40-43 (1-3)
§40-43 (4)
§40-43 (5)
§40-43 (6)
§40-43 (7)
§40-43 (8)
§40-43 (9)
§40-43 (10)
§40-43 (11)
§44-48 (1)
§44-48 (2-3)
§44-48 (4-5)
§44-48 (6-7)
§44-48 (8)
§44-48 (9)
§44-48 (10)
§44-48 (11)
§49-51 (1-2)
§49-51 (3-4)
§49-51 (5)
§49-51 (6)
§49-51 (7)
§49-51 (8)
§49-51 (9)
§49-51 (10)
§49-51 (11)
11GDZ © 2018-2026. Решебники, ГДЗ, відповіді. Всі права захищені.
  • Правила
  • Контакти