Завдання для перевірки § » §1-4 (7)





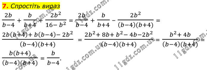
Спростіть вираз 2b/(b-4) + b/(b+4) + (2b^2)/(16- b^2 ) = 2b/(b-4) + b/(b+4) – (2b^2)/((b-4)(b+4)) = (2b(b+4)+ b(b-4)- 2b^2)/((b-4)(b+4)) = (2b^2+ 8b+ b^2- 4b-2b^2)/((b-4)(b+4)) = (b^2+ 4b)/((b-4)(b+4)) = (b(b+4))/((b-4)(b+4)) = b/(b-4).





Завдання для перевірки §