§ 3. МНОГОЧЛЕНИ » 307
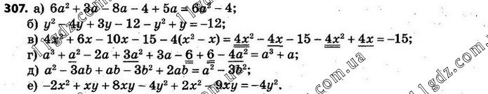
307. а) (3a – 4)(2a + 1) + 5a; в) (2x – 5)(2x + 3) – 4(x2 – x); д) (a + b)(a – 3b) + 2ab; б) (y + 3)(y – 4) – y(y – 1); г) (a2 + a – 2)(а + 3) + 6 – 4а2; е) (–х + 4y)(2x – y) + 2x2 – 9xy.
307. а) (3a – 4)(2a + 1) + 5a; в) (2x – 5)(2x + 3) – 4(x2 – x); д) (a + b)(a – 3b) + 2ab; б) (y + 3)(y – 4) – y(y – 1); г) (a2 + a – 2)(а + 3) + 6 – 4а2; е) (–х + 4y)(2x – y) + 2x2 – 9xy.