§ 3. МНОГОЧЛЕНИ » 247
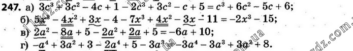
247. а) 3с3 + 3с2 – 4с + 1 і 2с3 – 3с2 + с – 5; б) 5х3 – 4х2 + 3х – 4 і 7х3 – 4х2 + 3х + 11; в) 2а2 – 8а + 5 і 2а2 – 2а – 5; г) –а4 + 3а2 + 3 і 2а4 – 5 + 3а3.
247. а) 3с3 + 3с2 – 4с + 1 і 2с3 – 3с2 + с – 5; б) 5х3 – 4х2 + 3х – 4 і 7х3 – 4х2 + 3х + 11; в) 2а2 – 8а + 5 і 2а2 – 2а – 5; г) –а4 + 3а2 + 3 і 2а4 – 5 + 3а3.