§ 3. МНОГОЧЛЕНИ » 283





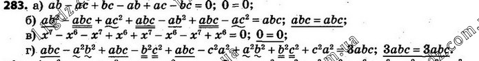
283. а) a(b – c) + b(c – a) + c(a – b) = 0; б) a(b2 – bc + c2) + ab(c – b) + ac(b – c) = abc; в) х4(х3 – х2) – х3(х4 – х3) + х2(х5 – х4) – х(х6 – х5) = 0; г) ab(c – ab) + bc(a – bc) + ca(b – ca) + a2b2 + b2c2 + c2a2 = 3abc.





§ 3. МНОГОЧЛЕНИ