Вправи для повторення теми 1 » 7





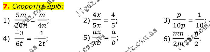
Скоротіть дріб: 1) 5m/20n = m/4n; 4) (-3)/6t = –1/2t; 2) 4x/5x = 4/5; 5) ax/xb = a/b; 3) p/10p = 1/10; 6) mn/2m = n/2.





Вправи для повторення теми 1