Вправи для повторення теми 1 » 16





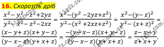
Скоротіть дріб (x^2- y^2- z^2+2yz)/(y^2- x^2- z^2-2xz) = (x^2-(y^2 -2yz+z^2))/(y^2-(x^2 +2xz+z^2)) = (x^2-(y- z)^2)/(y^2- (x+ z)^2 ) = ((x- y+ z)(x+ y- z))/((y- x- z)(y+ x+ z)) = (-(y- x- z)(x+ y- z))/((y- x- z)(y+ x+ z)) = (z- x- y)/(z+ x+ y).





Вправи для повторення теми 1