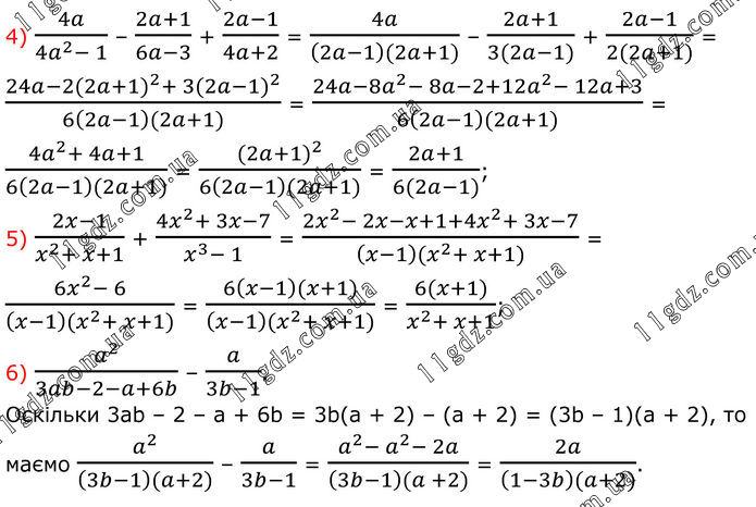
Вправи для повторення теми 1 » 33 (4-6)





33 (4-6)

Спростіть вираз: 1) (4m+18)/(m^2- 9) – 5/(m-3) + 1/(m+3 ) = (4m+18-5(m+3)+ (m-3))/((m-3)(m+3)) = (4m+18-5m-15+m-3)/((m-3)(m+3)) = 0/(m^2- 9) = 0; 2) 2x/(2x+3) + 5/(3-2x) – (4x^2+ 9)/(4x^2- 9) = 2x/(2x+3) – 5/(2x-3) – (4x^2+ 9)/((2x-3)(2x+3)) = (2x(2x-3)- 5(2x+3)- 4x^2- 9)/((2x-3)(2x+3)) = (4x^2- 6x-10x-15-4x^2- 9)/((2x-3)(2x+3)) = (-16x-24)/((2x-3)(2x+3)) = (-8(2x+3))/((2x-3)(2x+3)) = 8/(3-2x); 3) 9x/(3xy+2y^2 ) – 4y/(3x^2+ 2xy) = 9x/(y(3x+2y)) – 4y/(x(3x+2y)) = (9x^2- 4y^2)/(xy(3x+2y)) = ((3x-2y)(3x+2y))/(xy(3x+2y)) = (3x-2y)/xy;





Вправи для повторення теми 1