Задачі підвищеної складності з алгебри » 35





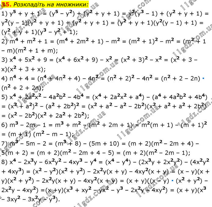
Розкладіть на множники: 1) у5 + у + 1 = (у5 – у2) + (у2 + у + 1) = y2(y3 – 1) + (y2 + у + 1) = y2(y – 1)(y2 + y + 1) + (y2 + y + 1) = (y2 + y + 1)(y2(y – 1) + 1) = (y2 + у + 1)(y3 – y2 + 1); 2) m4 + m2 + 1 = (m4 + 2m2 + 1) – m2 = (m2 + 1)2 – m2 = (m2 + 1 – m)(m2 + 1 + m); 3) x4 + 5x2 + 9 = (х4 + 6х2 + 9) – x2 = (х2 + З)2 – x2 = (х2 + 3 – х)(х2 + 3 + х); 4) n4 + 4 = (n4 + 4n2 + 4) – 4n2 = (n2 + 2)2 – 4n2 = (n2 + 2 – 2n) ∙ (n2 + 2 + 2n); 5) x4 + 2a2x2 – 4a2b2 – 4b4 = (х4 + 2а2x2 + а4) – (а4 + 4а2b2 + 4b4) = (х2 + а2)2 – (а2 + 2b2)2 = (х2 + а2 – а2 – 2b2)(х2 + а2 + а2 + 2b2) = (х2 – 2b2)(х2 + 2а2 + 2b2); 6) m3 – 2m – 1 = m3 + m2 – (m2 + 2m + 1) = m2(m + 1) – (m + 1)2 = (m + 1) (m2 – m – 1); 7) m3 – 5m – 2 = (m3 + 8) – (5m + 10) = (m + 2)(m2 – 2m + 4) – 5(m + 2) = (m + 2)(m2 – 2m + 4 – 5) = (m + 2)(m2 – 2m – 1); 8) x4 – 2х3у – 6х2у2 – 4ху3 – у4 = (х4 – у4) – (2х3у + 2x2y2) – (4x2y2 + 4ху3) = (х2 – у2)(х2 + у2) – 2х2у(х + у) – 4xy2(х + у) = (х – у)(х + у)(х2 + у2) – 2х2у(х + у) – 4хy2(х + у) = (х + у)((х – у) ∙ (x2 + y2) – 2x2y – 4xy2) =(x +y)(x3 + xy2 – ух2 – y3 – 2х2у – 4xy2) = (х + у)(х3 – Зху2 – Зх2у – у3).





Задачі підвищеної складності з алгебри