Задачі підвищеної складності з алгебри » 21





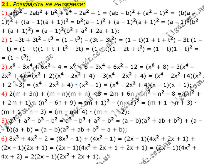
Розкладіть на множники: 1) а2b2 – 2аb2 + b2 + а4 – 2a2 + 1 = (ab – b)2 + (а2 – 1)2 = (b(а – 1))2 + ((а – 1)(a + 1))2 = b2(а – 1)2 + (а – 1)2(а + 1)2 = (а – 1)2(b2 + (а + 1)2) = (a – 1)2(b2 + a2 + 2a + 1); 2) 1 –3t + 3t2 – t3 = (1 – t3) – (3t – 3t2) = (1 – t)(1 + t + t2) – 3t (1 – t) = (1 – t)(1 + t + t2 – 3t) = (1 – t)(1 – 2t + t2) = (1 – t)(1 – t)2 = (1 – t3); 3) x6 – Зх4 + 6х2 – 4 = x6 + 8 – 3х4 + 6х2 – 12 = (х6 + 8) – 3(х4 –2x2 + 4) =(х2 + 2)(х4 – 2х2 + 4) – 3(х4 – 2х2 + 4) = (х4 – 2х2 +4)(х2 + 2 – 3) = (х4 – 2х2 + 4) ∙ (х2 – 1) = (х4 – 2х2 + 4)(х – 1)(х + 1); 4) 2(m + 3n) + (m – n)(m + n) – 8 = 2m + 6n + m2 – n2 – 8 = (m2 + 2m + 1) – (n2 – 6n + 9) = (m + 1)2 – (n – З)2 = (m + 1 – n + 3) ∙ (m + 1 + n – 3) = (m – n + 4) ∙ (m + n – 2); 5) a3 + a2 – b3 – b2 = a3 – b3 + a2 – b2 = (a – b)(a2 + ab + b2) + (a – b)(a + b) = (a – b)(a2 + ab + b2 + a + b); 6) 8x3 + 4x2 – 2 = (8x3 – 1) + (4x2 – 1) = (2x – 1)(4x2 + 2x + 1) + (2x – 1)(2x + 1) = (2x – 1)(4x2 + 2x + 1 + 2x + 1) = (2x – 1)(4x2 + 4x + 2) = 2(2x – 1)(2x2 + 2x + 1).





Задачі підвищеної складності з алгебри