Розділ 3. ФУНКЦІЯ » 750
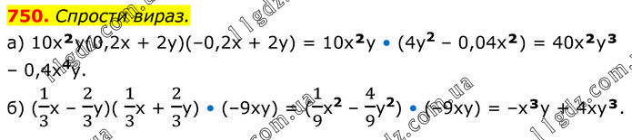
Спрости вираз. а) 10x²y(0,2x + 2y)(–0,2x + 2y) = 10x²y • (4у2 – 0,04x²) = 40x²y³ – 0,4x4y. б) (1/3х – 2/3у)( 1/3х + 2/3у) • (–9ху) = (1/9х2 – 4/9у2) • (–9ху) = –x³y + 4xy³.
Спрости вираз. а) 10x²y(0,2x + 2y)(–0,2x + 2y) = 10x²y • (4у2 – 0,04x²) = 40x²y³ – 0,4x4y. б) (1/3х – 2/3у)( 1/3х + 2/3у) • (–9ху) = (1/9х2 – 4/9у2) • (–9ху) = –x³y + 4xy³.