§ 2. ОДНОЧЛЕНИ » 212
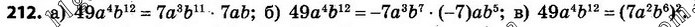
212. Подайте одночлен 49a4b12 у вигляді: а) добутку двох одночленів стандартного вигляду; б) добутку двох одночленів, одним з яких є –7a3b7; в) квадрата одночлена стандартного вигляду.
212. Подайте одночлен 49a4b12 у вигляді: а) добутку двох одночленів стандартного вигляду; б) добутку двох одночленів, одним з яких є –7a3b7; в) квадрата одночлена стандартного вигляду.