ГДЗ
/
ГДЗ Алгебра 7 клас Кравчук 2015
/
§ 2. ОДНОЧЛЕНИ
/
207-210
§ 2. ОДНОЧЛЕНИ » 204
« 203
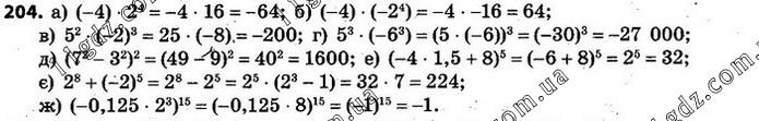
204
205 »
Повідомити про помилку
§ 2. ОДНОЧЛЕНИ
113
114
115-116
117
118
119
120
121
122-124
125
126
127
128
129
130
131
132
133
134
135
136
137
138
139
140
141-143
144-146
147-153
154
155
156
157
158
159
160-163
164-165
166
167
168
169
170
171
172
173
174-175
176
177
178
179
180
181
182
183
184-185
186
187
188
189
190
191
192
193
194
195
196
197
198
199
200
201
202
203
204
205
206
207-210
211
212
213
214
215
216
217