§ 2. ОДНОЧЛЕНИ » 147-153





147-153

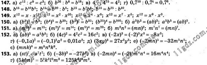
148. Подайте степінь b15 у вигляді добутку двох степенів з основою b чотир-ма способами. 149. Подайте степінь х12 у вигляді добутку двох степенів, одним з яких є: х; х2; х4; х7; х9. 150. а) Подайте у вигляді степеня з основою b: (b3)3; (b4)5; (b5)7; (b25)4. б) Подайте у вигляді степеня з основою ab: a3b3; a5b5. 151. а) Подайте у вигляді степеня з основою m: (m5)3; (m2)7; (m5)4. б) Подайте у вигляді степеня з основою mn: m2n2; m7n7.





§ 2. ОДНОЧЛЕНИ