§ 2. ОДНОЧЛЕНИ » 160-163





160-163

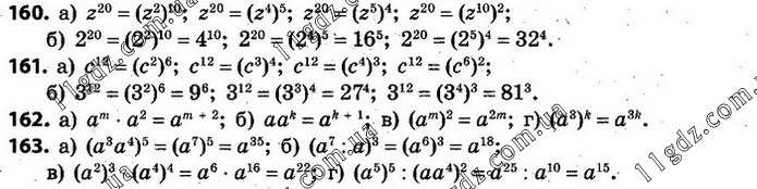
160. а) Подайте z20 у вигляді степеня з основою z2; z4; z5; z10. б) Подайте 220 у вигляді степеня з основою 4; 16; 32. 161. а) Подайте c12 у вигляді степеня з основою с2; с3; с4; с6. б) Подайте 312 у вигляді степеня з основою 9; 27; 81. 162. Подайте у вигляді степеня з основою а:





§ 2. ОДНОЧЛЕНИ