Вправи 701 - 800 » 782
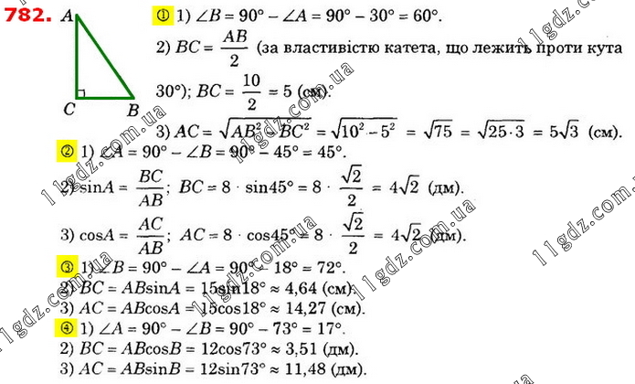
За гіпотенузою АВ прямокутного трикутника АВС і гострим кутом знайдіть інші його сторони та другий гострий кут (сторо ни трикутника в задачах 3) і 4) знайдіть із точністю до сотих).
За гіпотенузою АВ прямокутного трикутника АВС і гострим кутом знайдіть інші його сторони та другий гострий кут (сторо ни трикутника в задачах 3) і 4) знайдіть із точністю до сотих).