Вправи 701 - 800 » 776
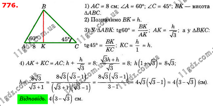
У трикутнику одна зі сторін дорівнює 8 см, а прилеглі до неї кути - 60° і 45°. Знайдіть висоту трикутника, проведену до цієї сторони.
У трикутнику одна зі сторін дорівнює 8 см, а прилеглі до неї кути - 60° і 45°. Знайдіть висоту трикутника, проведену до цієї сторони.