ЧАСТИНА 2. ФОРМУЛИ СКОРОЧЕНОГО МНОЖЕННЯ » 36.6





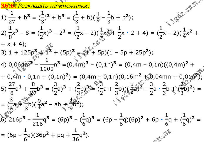
Розкладіть на множники: 1) 1/27 + b3 = (1/3)3 + b3 = (1/3 + b)( 1/9 – 1/3b + b2); 2) 1/8x3 – 8 = (1/2x)3 – 23 = (1/2x – 2)( 1/4x2 + 1/2x ∙ 2 + 4) = (1/2x – 2)( 1/4x2 + x + 4); 3) 1 + 125p3 = 13 + (5р)3 = (1 + 5p)(1 – 5p + 25р2); 4) 0,064m3 – 1/1000n3 =(0,4m)3 – (0,1n)3 = (0,4m – 0,1n)((0,4m)2 + 0,4m ∙ 0,1n + (0,1n)2) = (0,4m – 0,1n)(0,16m2 + 0,04mn + 0,01n2); 5) 27/8a3 + 8/27b3 = (3/2a)3 + (2/3b)3 = (3/2a + 2/3b)(( 3/2a)2 – 3/2a ∙ 2/3b + (2/3b)2) = (3/2a + 2/3b)( 9/4a2 – ab + 4/9b2); 6) 216p3 – 1/216q3 = (6p)3 – (1/6q)3 = (6p – 1/6q)(6p)2 + 6p ∙ 1/6q + (1/6q)2 = (6p – 1/6q)(36p2 + pq + 1/36q2).





ЧАСТИНА 2. ФОРМУЛИ СКОРОЧЕНОГО МНОЖЕННЯ