§ 1. ЦІЛІ ВИРАЗИ » 105
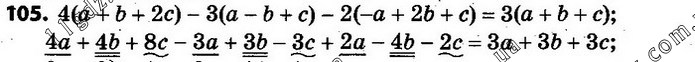
105. Доведіть, що вираз 4(a + b + 2c) – 3(a – b + c) – 2(–a + 2b + c) тотожно рівний виразу 3(а + b + c).
105. Доведіть, що вираз 4(a + b + 2c) – 3(a – b + c) – 2(–a + 2b + c) тотожно рівний виразу 3(а + b + c).