§ 1. ЦІЛІ ВИРАЗИ » 57
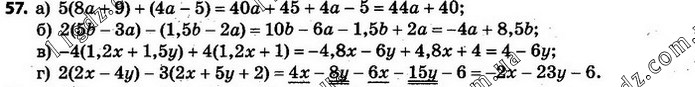
а) 5(8a + 9) + (4a – 5); б) 2(5b – 3a) – (1,5b – 2a); в) –4(1,2x + 1,5y) + 4(1,2х + 1); г) 2(2х – 4y) –3(2х + 5y + 2).
а) 5(8a + 9) + (4a – 5); б) 2(5b – 3a) – (1,5b – 2a); в) –4(1,2x + 1,5y) + 4(1,2х + 1); г) 2(2х – 4y) –3(2х + 5y + 2).