ГДЗ
/
ГДЗ Алгебра 7 клас Кравчук 2015
/
§ 1. ЦІЛІ ВИРАЗИ
/
4-7
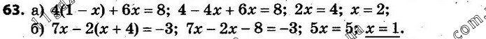
§ 1. ЦІЛІ ВИРАЗИ » 63
« 62
63
64 »
Повідомити про помилку
§ 1. ЦІЛІ ВИРАЗИ
1
2
3
4-7
8
9
10
11
12
13
14
15
16
17
18-19
20
21
22
23
24-27
28-29
30-36
37
38
39
40-41
42
43
44
45
46
47-48
49
50
51
52-54
56
57
58
59
60
61
62
63
64
65-68
69-71
72
73
74
75
76
77
78
79
80
81
82
83
84
85
86
87
88
89
90
91
92
93
94-97
98
99
100-102
103
104
105
106
107
108
109
110
111
112