• 1 клас
    • Англійська мова
    • Іспанська мова
    • Математика
    • Мистецтво
    • Німецька мова
    • Я досліджую світ
  • 2 клас
    • Англійська мова
    • Математика
    • Німецька мова
    • Українська мова
    • Я досліджую світ
  • 3 клас
    • Англійська мова
    • Математика
    • Німецька мова
    • Русский язык
    • Українська мова
    • Я досліджую світ
  • 4 клас
    • Англійська мова
    • Інформатика
    • Математики
    • Німецька мова
    • Основи здоров'я
    • Природознавство
    • Русский язык
    • Українська література
    • Українська мова
    • Французька мова
    • Я досліджую світ
  • 5 клас
    • Англійська мова
    • Зарубіжна література
    • Інформатика
    • Історія
    • Математика
    • Німецька мова
    • Пізнаємо природу
    • Русский язык
    • Українська література
    • Українська мова
  • 6 клас
    • Англійська мова
    • Біологія
    • Географія
    • Етика
    • Зарубіжна література
    • Здоров’я, безпека
    • Інформатика
    • Історія
    • Математика
    • Німецька мова
    • Пізнаємо природу
    • Українська література
    • Українська мова
  • 7 клас
    • Алгебра
    • Англійська мова
    • Біологія
    • Географія
    • Геометрія
    • Зарубіжна література
    • Здоров’я, безпека
    • Інформатика
    • Історія
    • Математика
    • Німецька мова
    • Українська література
    • Українська мова
    • Фізика
    • Французька мова
    • Хімія
  • 8 клас
    • Алгебра
    • Англійська мова
    • Біологія
    • Географія
    • Геометрія
    • Громадянська освіта
    • Зарубіжна література
    • Здоров’я, безпека
    • Інформатика
    • Історія України
    • Математика
    • Німецька мова
    • Основи здоров'я
    • Підприємництво
    • Українська література
    • Українська мова
    • Фізика
    • Французька мова
    • Хімія
  • 9 клас
    • Алгебра
    • Англійська мова
    • Біологія
    • Географія
    • Геометрія
    • Інформатика
    • Історія
    • Німецька мова
    • Українська література
    • Українська мова
    • Фізика
    • Хімія
  • 10 клас
    • Алгебра
    • Англійська мова
    • Біологія
    • Географія
    • Геометрія
    • Інформатика
    • Історія
    • Математика
    • Німецька мова
    • Основи здоров'я
    • Українська література
    • Українська мова
    • Фізика
    • Хімія
  • 11 клас
    • Інформатика
    • Алгебра
    • Англійська мова
    • Біологія
    • Географія
    • Геометрія
    • Історія України
    • Математика
    • Німецька мова
    • Українська література
    • Українська мова
    • Фізика
    • Хімія


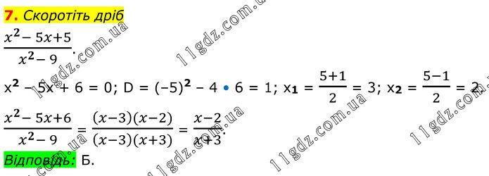
ГДЗ / ГДЗ Математика 8 клас Істер (2025) / Домашня самостійна / №11 (9)

Домашня самостійна » №11 (7)





« №11 (5-6)
№11 (7)
№11 (8) »
Повідомити про помилку




Домашня самостійна

№1 (1-2)
№1 (3-4)
№1 (5-6)
№1 (7-8)
№1 (9-10)
№1 (11)
№1 (12)
№1 (13)
№2 (1-2)
№2 (3)
№2 (4)
№2 (5)
№2 (6)
№2 (7)
№2 (8)
№2 (9)
№2 (10)
№2 (11)
№2 (12)
№2 (13)
№3 (1-2)
№3 (3-4)
№3 (5-6)
№3 (7)
№3 (8)
№3 (9)
№3 (10)
№3 (11)
№3 (12)
№3 (13)
№4 (1-2)
№4 (3-4)
№4 (9)
№5 (3-4)
№5 (7-8)
№6 (5)
№7 (1-2)
№7 (3-4)
№7 (5-6)
№7 (7)
№7 (8-9)
№7 (10)
№7 (11)
№7 (12)
№7 (13)
№8 (1-2)
№8 (3)
№8 (4)
№8 (5)
№8 (6)
№8 (7)
№8 (8)
№8 (9)
№8 (10)
№8 (11)
№8 (12)
№8 (13)
№9 (1-2)
№9 (3-4)
№9 (5)
№9 (6)
№9 (7-8)
№9 (9)
№9 (10)
№9 (11)
№9 (12)
№9 (13)
№10 (1-2)
№10 (3-4)
№10 (5)
№10 (6)
№10 (7)
№10 (8)
№10 (9)
№10 (10)
№10 (11)
№10 (12)
№10 (13)
№11 (1-2)
№11 (3-4)
№11 (5-6)
№11 (7)
№11 (8)
№11 (9)
№11 (10)
№11 (11)
№11 (12)
№11 (13)
11GDZ © 2018-2026. Решебники, ГДЗ, відповіді. Всі права захищені.
  • Правила
  • Контакти