Відповіді до вправ 802 - 901 » 852





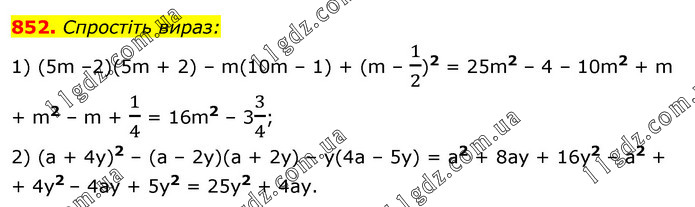
Спростіть вираз: 1) (5m –2)(5m + 2) – m(10m – 1) + (m – 1/2)2 = 25m2 – 4 – 10m2 + m + m2 – m + 1/4 = 16m2 – 33/4; 2) (a + 4y)2 – (a – 2y)(a + 2y) – y(4a – 5y) = a2 + 8ay + 16у2 – a2 + + 4y2 – 4ay + 5y2 = 25y2 + 4ay.





Відповіді до вправ 802 - 901