ГДЗ
/
ГДЗ Алгебра 7 клас Кравчук 2015
/
§ 5. ФУНКЦІЇ
/
767
§ 5. ФУНКЦІЇ » 766
« 765
766
767 »
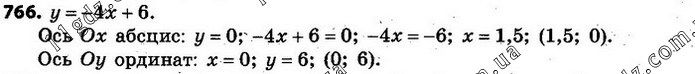
766. Знайдіть координати точок перетину графіка функції у = –4х + 6 з осями координат.
Повідомити про помилку
§ 5. ФУНКЦІЇ
648
649
650-651
652-657
658
659
660-662
663
664
665-666
667-668
669
670-673
674
675
676
677
678
679-680
681
682
683
684
685
686
687
688
689-690
691
692
693
695
696
697
698
699
700
701
702
703-706
707-708
709
710
711
712
713
714
715
716
717
718
719
720
721
722
723
724
725
726
727
729
730
731
732-733
734
735
736
737
738-741
742
743
744
745
746
747
748-749
750
751
752
753
754
755
756
757
758
759
760
761
762
763
764
765
766
767
768
769