§ 5. ФУНКЦІЇ » 750
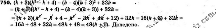
750. Доведіть, що значення виразу (k + 3)(k2 – k + 4) – (k – 4)(k + 3)2 + 32k ділиться на 48 для кожного цілого значення k.
750. Доведіть, що значення виразу (k + 3)(k2 – k + 4) – (k – 4)(k + 3)2 + 32k ділиться на 48 для кожного цілого значення k.