• 1 клас
    • Англійська мова
    • Іспанська мова
    • Математика
    • Мистецтво
    • Німецька мова
    • Я досліджую світ
  • 2 клас
    • Англійська мова
    • Математика
    • Німецька мова
    • Українська мова
    • Я досліджую світ
  • 3 клас
    • Англійська мова
    • Математика
    • Німецька мова
    • Русский язык
    • Українська мова
    • Я досліджую світ
  • 4 клас
    • Англійська мова
    • Інформатика
    • Математики
    • Німецька мова
    • Основи здоров'я
    • Природознавство
    • Русский язык
    • Українська література
    • Українська мова
    • Французька мова
    • Я досліджую світ
  • 5 клас
    • Англійська мова
    • Зарубіжна література
    • Інформатика
    • Історія
    • Математика
    • Німецька мова
    • Пізнаємо природу
    • Русский язык
    • Українська література
    • Українська мова
  • 6 клас
    • Англійська мова
    • Біологія
    • Географія
    • Етика
    • Зарубіжна література
    • Здоров’я, безпека
    • Інформатика
    • Історія
    • Математика
    • Німецька мова
    • Пізнаємо природу
    • Українська література
    • Українська мова
  • 7 клас
    • Алгебра
    • Англійська мова
    • Біологія
    • Географія
    • Геометрія
    • Зарубіжна література
    • Здоров’я, безпека
    • Інформатика
    • Історія
    • Математика
    • Німецька мова
    • Українська література
    • Українська мова
    • Фізика
    • Французька мова
    • Хімія
  • 8 клас
    • Алгебра
    • Англійська мова
    • Біологія
    • Географія
    • Геометрія
    • Громадянська освіта
    • Зарубіжна література
    • Здоров’я, безпека
    • Інформатика
    • Історія України
    • Математика
    • Німецька мова
    • Основи здоров'я
    • Підприємництво
    • Українська література
    • Українська мова
    • Фізика
    • Французька мова
    • Хімія
  • 9 клас
    • Алгебра
    • Англійська мова
    • Біологія
    • Географія
    • Геометрія
    • Інформатика
    • Історія
    • Німецька мова
    • Українська література
    • Українська мова
    • Фізика
    • Хімія
  • 10 клас
    • Алгебра
    • Англійська мова
    • Біологія
    • Географія
    • Геометрія
    • Інформатика
    • Історія
    • Математика
    • Німецька мова
    • Основи здоров'я
    • Українська література
    • Українська мова
    • Фізика
    • Хімія
  • 11 клас
    • Інформатика
    • Алгебра
    • Англійська мова
    • Біологія
    • Географія
    • Геометрія
    • Історія України
    • Математика
    • Німецька мова
    • Українська література
    • Українська мова
    • Фізика
    • Хімія


ГДЗ / ГДЗ Алгебра 7 клас Мерзляк 2020 / § 3. Функції / 938

§ 3. Функції » 1007





« 1006
1007
1008 »

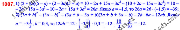
Знайдіть значення виразу: 1) (2 + 3a) (5 – a) – (2 – 3a) (5 + a) при a = –1,5; 2) (3a ˜ b)2 ° (3a ° b)2 при a ˜ °313, b = 0,3.

Повідомити про помилку




§ 3. Функції

840
841-842
843
844-845
846
847
848
849
850
851
852
853
854
855
856
857
858
859
860
861
862
863
864
865
866
867
868
869
870
871
872
873
874
875
876
877
878
879
880
881
882
883
884
885
886
887
888
889
890
891
892
893
894-895
896
897
898
899
900
901
902
903
904
905-906
907-908
909
910
911
912
913
914
915
916
917
918
919
920
921
922
923
924
925
926
927
928-930
931
932
933
934
935
936
937
938
939
940
941
942
943
944
945
946
947
948
949
950
951
952
953
954
955
956
957
958
959
960
961
962
963
964
965
966
967
968
969
970
971
972
973
974
975
976
977
978
979
980
981
982
983
984
985-986
987
988
989
990
991
992
993
994
995
996
997
998
999
1000
1001
1002
1003
1004
1005
1006
1007
1008
1009
1010
1011
1012
1013
1014
1015
11GDZ © 2018-2026. Решебники, ГДЗ, відповіді. Всі права захищені.
  • Правила
  • Контакти