ГДЗ
/
ГДЗ Алгебра 7 клас Мерзляк 2020
/
Завдання 701 - 839
/
750
Завдання 701 - 839 » 777
« 776
777
778 »
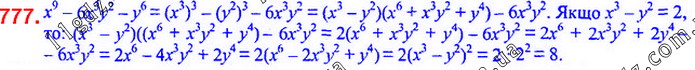
Відомо, що числа x і y такі, що х3 – y2 = 2. Знайдіть значення виразу x9 − 6x3y2 − y6.
Повідомити про помилку
Завдання 701 - 839
701
702
703
704
705
706
707
708
709
710
711
712
713
714
715
716
717
718
719
720
721
722
723
724
725
726
727
728
729
730
731
732
733
734
735
736
737
738
739
740
741
742
743
744
745
746
747
748
750
751
752
753
754
755-756
758
759
760
761
762
763
764
765
766
767
768
769
770
771
772
773
774
775
776
777
778
779
781
782
783
784
785
786
787
788
789
790
791-794
792
793
795
796
797
798
799
800
801
802
803
804
805
806
807
808
809
810
811
812
813
814
815
816
817
818
819
820
821
822
823
824
825-826
827
828
829
830
831
832-833
834-836
837
838
839