Завдання 701 - 839 » 701





701

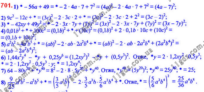
Який одночлен треба поставити замість зірочки, щоб можна було подати у вигляді квадрата двочлена вираз: 1) * – 56a + 49; 2) 9c2 ˜12c ° *; 3) * – 42xy + 49y2; 4) 0,01b2 + * +100c2; 5) a2b2 ˜ 4a3b5 ° *; 6) 1,44x2y4 ˜ *y ° 0,25y6; 7) 64 – 80y20 + *y40;





Завдання 701 - 839