ГДЗ
/
ГДЗ Геометрія 9 клас Бурда
/
Перевірте, як засвоїли матеріал розділу
/
Стр.141 (5)
Перевірте, як засвоїли матеріал розділу » Стр.109 (2)
« Стр.109 (1)
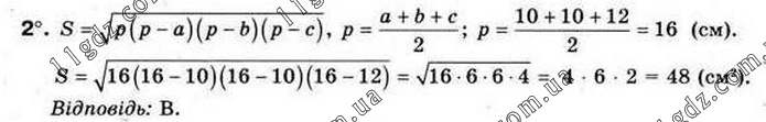
Стр.109 (2)
Стр.109 (3) »
Повідомити про помилку
Перевірте, як засвоїли матеріал розділу
Стр.47 (1)
Стр.47 (2)
Стр.47 (3)
Стр.47 (4)
Стр.47 (5)
Стр.83 (1)
Стр.83 (2)
Стр.83 (3)
Стр.83 (4)
Стр.83 (5)
Стр.109 (1)
Стр.109 (2)
Стр.109 (3)
Стр.109 (4)
Стр.109 (5)
Стр.141 (1)
Стр.141 (2)
Стр.141 (3)
Стр.141 (4)
Стр.141 (5)
Стр.173 (1)
Стр.173 (2)
Стр.173 (3)
Стр.173 (4)
Стр.173 (5)