ГДЗ
/
ГДЗ Математика 8 клас Істер (2025)
/
Вправи для повторення теми 11
/
14 (1-2)
Вправи для повторення теми 11 » 6 (2)
« 6 (1)
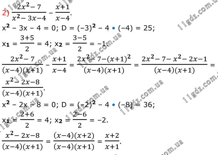
6 (2)
6 (3) »
Повідомити про помилку
Вправи для повторення теми 11
1
2
3
4
5 (1-2)
5 (3)
5 (4)
6 (1)
6 (2)
6 (3)
7
8
9
10
11
12
13
14 (1-2)
14 (3-4)
15
16
17 (1)
17 (2-3)
17 (4-5)
17 (6)
18 (1)
18 (2-3)
19
20
21 (1)
21 (2)
22 (1)
22 (2-3)
22 (4)
22 (5)
22 (6)
23 (1)
23 (2)
24
25
26
27
28
29
30
31
32
33
34
35