• 1 клас
    • Англійська мова
    • Іспанська мова
    • Математика
    • Мистецтво
    • Німецька мова
    • Я досліджую світ
  • 2 клас
    • Англійська мова
    • Математика
    • Німецька мова
    • Українська мова
    • Я досліджую світ
  • 3 клас
    • Англійська мова
    • Математика
    • Німецька мова
    • Русский язык
    • Українська мова
    • Я досліджую світ
  • 4 клас
    • Англійська мова
    • Інформатика
    • Математики
    • Німецька мова
    • Основи здоров'я
    • Природознавство
    • Русский язык
    • Українська література
    • Українська мова
    • Французька мова
    • Я досліджую світ
  • 5 клас
    • Англійська мова
    • Зарубіжна література
    • Інформатика
    • Історія
    • Математика
    • Німецька мова
    • Пізнаємо природу
    • Русский язык
    • Українська література
    • Українська мова
  • 6 клас
    • Англійська мова
    • Біологія
    • Географія
    • Етика
    • Зарубіжна література
    • Здоров’я, безпека
    • Інформатика
    • Історія
    • Математика
    • Німецька мова
    • Пізнаємо природу
    • Українська література
    • Українська мова
  • 7 клас
    • Алгебра
    • Англійська мова
    • Біологія
    • Географія
    • Геометрія
    • Зарубіжна література
    • Здоров’я, безпека
    • Інформатика
    • Історія
    • Математика
    • Німецька мова
    • Українська література
    • Українська мова
    • Фізика
    • Французька мова
    • Хімія
  • 8 клас
    • Алгебра
    • Англійська мова
    • Біологія
    • Географія
    • Геометрія
    • Громадянська освіта
    • Зарубіжна література
    • Здоров’я, безпека
    • Інформатика
    • Історія України
    • Математика
    • Німецька мова
    • Основи здоров'я
    • Підприємництво
    • Українська література
    • Українська мова
    • Фізика
    • Французька мова
    • Хімія
  • 9 клас
    • Алгебра
    • Англійська мова
    • Біологія
    • Географія
    • Геометрія
    • Інформатика
    • Історія
    • Німецька мова
    • Українська література
    • Українська мова
    • Фізика
    • Хімія
  • 10 клас
    • Алгебра
    • Англійська мова
    • Біологія
    • Географія
    • Геометрія
    • Інформатика
    • Історія
    • Математика
    • Німецька мова
    • Основи здоров'я
    • Українська література
    • Українська мова
    • Фізика
    • Хімія
  • 11 клас
    • Інформатика
    • Алгебра
    • Англійська мова
    • Біологія
    • Географія
    • Геометрія
    • Історія України
    • Математика
    • Німецька мова
    • Українська література
    • Українська мова
    • Фізика
    • Хімія


ГДЗ / ГДЗ Математика 8 клас Істер (2025) / Тема 11. КВАДРАТНИЙ ТРИЧЛЕН / 51.21

Тема 11. КВАДРАТНИЙ ТРИЧЛЕН » 49.23 (3-4)





« 49.23 (1-2)
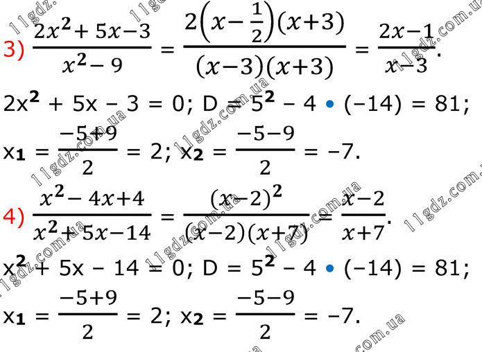
49.23 (3-4)
49.23 (5-6) »
Повідомити про помилку




Тема 11. КВАДРАТНИЙ ТРИЧЛЕН

49.1-49.2
49.3-49.4
49.5
49.6
49.7
49.8
49.9
49.10 (1-3)
49.10 (4-6)
49.11 (1-3)
49.11 (4-6)
49.12-49.13
49.14
49.15
49.16
49.17
49.18
49.19
49.20
49.21 (1-2)
49.21 (3-4)
49.22
49.23 (1-2)
49.23 (3-4)
49.23 (5-6)
49.24
49.25
49.26 (1)
49.26 (2-3)
49.26 (4)
49.27
49.28
49.29
49.30 (1-2)
49.30 (3-4)
49.31
49.32 (1)
49.32 (2)
49.33
49.34
49.35
49.36
49.37
49.38
49.39
49.40
49.41
49.42
50.1-50.2
50.3 (1-2)
50.3 (3-4)
50.3 (5-6)
50.4 (1-2)
50.4 (3-4)
50.4 (5-6)
50.5
50.6
50.7
50.8
50.9 (1-2)
50.9 (3-4)
50.10 (1-2)
50.10 (3-4)
50.11
50.12
50.13
50.14
50.15 (1-2)
50.15 (3-4)
50.16 (1-2)
50.16 (3-4)
50.17 (1-2)
50.17 (3-4)
50.18
50.19 (1-2)
50.19 (3-4)
50.20 (1)
50.20 (2-3)
50.20 (4)
50.21
50.22
50.23
50.24
50.25
50.26
50.27
50.28 (1)
50.28 (2)
50.29 (1)
50.29 (2)
50.30 (1-2)
50.30 (3-4)
50.31 (1-2)
50.31 (3-4)
50.32
50.33
50.34
50.35
50.36
50.37
51.1
51.2
51.3
51.4
51.5
51.6
51.7
51.8
51.9
51.10
51.11
51.12
51.13
51.14
51.15
51.16
51.17
51.18
51.19
51.20
51.21
51.22
51.23
51.24
51.25
51.26
51.27
11GDZ © 2018-2026. Решебники, ГДЗ, відповіді. Всі права захищені.
  • Правила
  • Контакти