ГДЗ
/
ГДЗ Математика 8 клас Істер (2025)
/
Вправи для повторення теми 5
/
27
Вправи для повторення теми 5 » 18
« 17
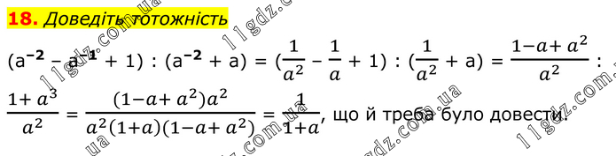
18
19-20 »
Повідомити про помилку
Вправи для повторення теми 5
1-2
3
4
5-6
7
8
9
10
11
12-13
14-15
16
17
18
19-20
21
22
23
24
25
26
27
28 (1)
28 (2)
29
30
31
32
33
34 (1)
34 (2)