ГДЗ
/
ГДЗ Геометрія 8 клас Єршова 2021
/
Вправи 701 - 754
/
711
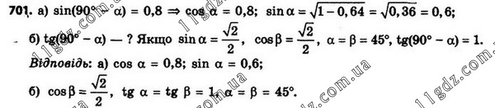
Вправи 701 - 754 » 701
701
702 »
Повідомити про помилку
Вправи 701 - 754
701
702
703
704
705
706
707
708-709
710
711
712
718
719
720
721
722
723
724
725
726
727
728
729
730
731
732
733
734
735
736-737
738
739
740
741
742
743
744
745
746
747
748
749
750
751
752
753
754