ГДЗ
/
ГДЗ Алгебра 8 клас Істер 2021
/
Завдання для перевірки знань
/
Стр.98 (11)
Завдання для перевірки знань » Стр.38 (7-8)
« Стр.38 (1-6)
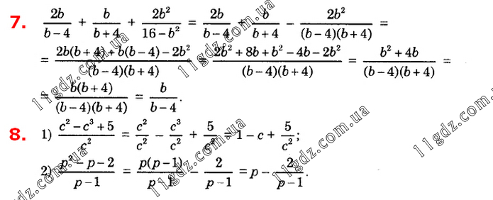
Стр.38 (7-8)
Стр.38 (9-10) »
Повідомити про помилку
Завдання для перевірки знань
Стр.38 (1-6)
Стр.38 (7-8)
Стр.38 (9-10)
Стр.38 (11)
Стр.69 (1-6)
Стр.70 (7-9)
Стр.70 (10-11)
Стр.98 (1-7)
Стр.98 (8)
Стр.98 (9-10)
Стр.98 (11)
Стр.167 (1-5)
Стр.167 (6-9)
Стр.167 (10-11)
Стр.205 (1-5)
Стр.205 (6-7)
Стр.205 (8-9)
Стр.205 (10-11)
Стр.228 (1-5)
Стр.228 (6-7)
Стр.228 (8)
Стр.228 (9-10)
Стр.228 (11)