ГДЗ
/
ГДЗ Алгебра 8 клас Істер 2021
/
Задачі підвищіної складності
/
1106
Задачі підвищіної складності » 1098
« 1097
1098
1099 »
Повідомити про помилку
Задачі підвищіної складності
1083
1084
1085 (1-2)
1085 (3-4)
1085 (5-6)
1086 (1-2)
1086 (3-4)
1087
1088
1089
1090
1091
1092
1093 (1-2)
1093 (3-4)
1094
1095
1096
1097
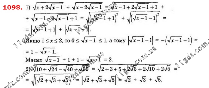
1098
1099
1100
1101
1102
1103
1104
1105
1106
1107
1108
1109
1110
1111
1112
1113
1114
1115
1116
1117
1118
1119
1120
1121 (1-2)
1121 (3-4)
1121 (5-6)
1122
1123
1124
1125
1126 (1)
1126 (2)
1127
1128
1129
1130
1131 (1-2)
1131 (3-4)
1132
1133
1134
1135
1136
1137
1138
1139